INFORMACIÓN

Papeles del Psicólogo es una revista científico-profesional, cuyo objetivo es publicar revisiones, meta-análisis, soluciones, descubrimientos, guías, experiencias y métodos de utilidad para abordar problemas y cuestiones que surgen en la práctica profesional de cualquier área de la Psicología. Se ofrece también como foro para contrastar opiniones y fomentar el debate sobre enfoques o cuestiones que suscitan controversia.

PAPELES DEL PSICÓLOGO
  • Director: Serafín Lemos Giráldez
  • Última difusión: Enero 2024
  • Periodicidad: Enero - Mayo - Septiembre
  • ISSN: 0214 - 7823
  • ISSN Electrónico: 1886-1415
CONTACTO
  • Dirección: c/ Conde de Peñalver 45, 5º
    28006 Madrid
  • Teléfono: 91 444 90 20
  • Fax: 91 309 56 15
  • Email: papeles@cop.es

Papeles del Psicólogo, 2004. Vol. 25(87).




ESTUDIO DE EVALUACIÓN DE RESULTADOS EN TERAPIA FAMILIAR BREVE

José Luis Rodríguez-Arias Palomo*, María Otero Larrea, María Venero Celis, Natalia Ciordia Rada y Purificación Vázquez Fondó

*Hospital "Virxe da Xunqueira" Cee – A Coruña

En las últimas décadas se ha asistido a una proliferación de las investigaciones de resultados en psicoterapia; hasta tal punto, que se cuenta en la actualidad con una nada desdeñable, aunque insuficiente, base empírica, que avala los tratamientos psicoterapéuticos. Sin embargo, hay aún muchos aspectos controvertidos, por lo que sigue siendo necesario que las diferentes escuelas que coexisten en el mercado de las psicoterapias, desarrollen pruebas en las que basar sus prácticas clínicas. El objeto de esta investigación es la evaluación de los resultados que se generan de la aplicación de un modelo de Terapia Familiar Breve en la Consulta de Psicología de una Unidad de Salud Mental enclavada en un Hospital Comarcal. Se aplica un modelo de Terapia Familiar Sistémica -Terapia Familiar Breve-, guiado por la teoría y las prácticas de MRI de Palo Alto y del BFTC de Milwaokee. Se analiza el resultado de todos los casos atendidos con psicoterapia en la Consulta de Psicología del Hospital "Virxe da Xunqueira" durante los años 1999, 2000 y 2001 -N = 785-. Los resultados -Abandonan 18% y continúan tratamiento 82%; se "enganchan" 16% y terminan 84%; de los cuales son Éxito 77% y Fracaso 23%- confirman los resultados de investigaciones previas. Tras un seguimiento a 20 meses, se registra un 19% de recaídas; mientras que han resuelto el problema 66% de los casos de abandono y el 46 % de los fracasos. Además 66 % de los casos informan de haber mejorado en áreas no tratadas -efecto irradiación-. No se encuentran diferencias entre el grupo de abandonos y los que continúan tratamiento; los casos de éxito en comparación con los fracasos, se caracterizan por ser pacientes más jóvenes, con menos tiempo de evolución de su queja y que afecta menos a su actividad global; las sesiones son más cortas y la mejoría empieza tras la primera sesión. El grupo de casos que se "enganchan" al tratamiento presentan características similares a los fracasos.

During the last decades a proliferation in the investigation on therapy results has taken place. This has allowed to count today with a big, although insufficient, empiric basis, which guarantees the psicotherapy treatments. However, there are still many controversial aspects that make necessary the that the different schools which coexist in the psicotherapy market develop suitable methods to evaluate their treatments. The aim of this investigation was to evaluate the results generated during the application of a Brief Family Therapy model in a psychologist’s desk in the Mental Health Unit of a Rural Area Hospital. A Systemic Family Therapy is used - Brief Family Therapy- following Palo Alto’s MRI and Milwaukee’s BFTC theory and practices. All the clinical cases analysed dealt with psicotherapy in the psychologist’s desk between 1999 and 2001 -N = 785- are analysed. Results obtained: 18% droped out and 82% continued the treatment; among these, 16% continue and 84% finished treatment showing 77% success and 23% failure. These results confirm previous investigations results. After a 20 months monitoring period, there are 19% of relapses, the problem has been solved for 66% of drop out cases and for 46% of failure cases. Moreover 66% inform that they have improved in areas without treatment -irradiation effect-. No differences are found between drop out cases and patients who continue treatment; success cases are patients younger than failures cases, with a shorter term evolution problem, affecting less their global activity, sessions are shorter and improvement starts after the first session. The group of cases that adhere to the treatments shows similar characteristics to the failure group cases.

INTRODUCCIÓN

"…una de las mayores anomalías de la Ciencia Conductual y Psiquiátrica consiste en que aún pueden seguir inventándose métodos de intervención, usándose y pagándose por el público sin una pizca de evidencia empírica que demuestre la eficacia y ausencia de efectos nocivos. Este tipo de proliferación es un escándalo profesional" (Bergin, 1982)

El estudio y la evaluación de los resultados son indispensables en el trabajo clínico. Desde un punto de vista meramente pragmático, es básico saber si lo que se hace funciona o no, porque si no se conocen los efectos de las intervenciones psicoterapéuticas, se corre el riesgo de estar perdiendo el tiempo de terapeutas y clientes. Desde un punto de vista ético es función y responsabilidad del clínico ayudar a los clientes a conseguir lo que necesitan para estar mejor -eficacia- y con el menor coste de tiempo, esfuerzo y recursos -eficiencia-. Para cumplir estos requisitos no basta con tener una idea general de los resultados que se obtienen, sino que es necesario un estudio detallado de cuáles son los elementos de la psicoterapia que están siendo útiles y cuáles no.

A pesar de estas consideraciones, que a muchos pueden parecer obvias, en la literatura no hay tantos estudios sobre evaluación de resultados, y menos aún en lo que respecta a la Terapia Familiar. Hampson y Beavers (1996) recogen algunas de las dificultades que diferentes autores han señalado como obstáculo para la evaluación de resultados en dicho campo:

Hay un desacuerdo sobre si la forma óptima de evaluar los resultados es medir los cambios globales en evaluaciones post-tratamiento o ir midiendo los pequeños cambios que ocurren entre los diferentes intervalos del proceso terapéutico.

Las investigaciones más recientes en el ámbito de la Terapia Familiar se limitan al estudio de pequeñas muestras.

Generalmente, los estudios de evaluación de resultados utilizan sólo un tipo de medida: el autoinforme del paciente, los datos procedentes de la observación o el informe del terapeuta. En raras ocasiones se presentan estudios que combinan los tres tipos de medidas.

Hay estudios de eficacia controlados en laboratorio, pero muy pocos que evalúen la efectividad de la intervención psicoterapéutica en el contexto clínico.

Los pocos estudios en los que la asignación de los tratamientos es aleatoria, muestran que los clientes en psicoterapia no mejoran más que los del grupo control.

En contra de esta última conclusión, la revisión de la literatura realizada por Shadish, Ragsdale y Glaser (1995) concluye que, en la mayoría de los estudios, la psicoterapia demuestra una eficacia superior frente a la condición de no psicoterapia -Grupo control-;no encontrando, en general, diferencias significativas en los resultados de la psicoterapia individual y la familiar. Sin embargo, muestran que para algunos tipos de problemas, como los de conducta infantil y de delincuencia en adolescentes, la Terapia Familiar ha resultado ser el tratamiento más efectivo.

Las investigaciones sobre resultados en Terapia Familiar, y en psicoterapia en general, han subrayado la relación de cuatro tipos de variables y el éxito/fracaso terapéutico: variables del cliente (demográficas y clínicas), del terapeuta, del proceso y específicas del modelo psicoterapéutico que se utiliza. En la tabla 1 se recoge un resumen basado en los datos que hay, hasta la fecha, en la literatura referida a evaluación de resultados (Garfield, 1986; Gurman, Kniskern y Pinsof, 1986; Koss y Butcher, 1986; Lambert, Shapiro y Bergin, 1986; Orlinsky y Howard, 1986; Bischoff y Sprenkle, 1993; Chamberlain y Rosicky, 1995; Kemp y Van Acker, 1997; Harrington et al., 2000; Jonson, Wright y Ketring, 2002; Burgaleta y Rodríguez-Arias, 2003).

Anteriores estudios de evaluación de resultados en Terapia Familiar Breve (Pérez, 1989; Rodríguez-Arias, Mestre, Larre y Carbajal, 1990; Fontecilla Ramos y Rodríguez-Arias, 1993, Rodríguez-Arias, Aparicio, Fontecilla, Ramos y Rueda, 1997b; González M., Revuelta C., y Rodríguez-Arias J.L. 1998; Rodríguez-Arias et al. 2000) informan de una tasa de abandonos entre un 10-15% y un 70-80% de resultados exitosos, con una media de 4 a 6 sesiones de 35 a 45 minutos.

El objetivo que persigue este estudio es analizar la práctica clínica cotidiana definiendo qué aspectos están resultando eficaces, para potenciarlos, y cuáles no, para revisarlos y modificarlos. La meta final es, con la ayuda de estos datos, ir mejorando año tras año el trabajo clínico.

MATERIAL Y MÉTODOS

Objeto

El objeto de esta investigación es la evaluación de los resultados que se generan de la aplicación de un modelo de Terapia Familiar Breve en la Consulta de Psicología de una Unidad de Salud Mental enclavada en un Hospital Comarcal. Se trata de describir y analizar las diferencias entre los casos que abandonan, los que se "enganchan" al tratamiento y los que terminan con éxito o fracaso; en función de las variables sociológicas y clínicas que se evalúan.

Sujetos

Se estudia la población compuesta por todos los casos atendidos con psicoterapia en la Consulta de Psicología del Hospital "Virxe da Xunqueira" durante los años 1999, 2000 y 2001. Para los casos empezados en el año 1999 se recogieron los datos el 31 de diciembre de 2000; para los del 2000, el 31 de diciembre de 2001 y para los de 2001, el 31 de diciembre de 2002. De esta manera los casos han tenido oportunidad de evolucionar durante un mínimo de un año y un máximo de dos. Estas poblaciones se describen en la Tabla 2.

Definición de Variables

Se toman como variables predictoras las variables sociológicas y clínicas definidas en la Tabla 2 y como variables criterio el "Resultado Final" y el "Resultado de Seguimiento". Se contabiliza el número de sesiones y se miden los tiempos de duración de las sesiones -en minutos-, la duración del tratamiento -días desde la primera a la última sesión-, el intervalo entre sesiones -en días- y el intervalo de seguimiento -días desde la última sesión hasta el contacto telefónico de seguimiento-.

Para codificar la variable "Resultado Final" se distingue primero entre los casos que "Abandonan" -al final de la primera sesión se concierta una segunda sesión a la que no acuden- y los que "Continúan" el tratamiento. En Terapia Familiar Breve los que acuden a dos sesiones han completado casi la mitad de la media de tratamiento, de manera que si han acudido a dos o más sesiones, no se puede considerar abandono, sino éxito o fracaso según los criterios que más adelante se especifican. A los casos que no abandonan se le aplica una segunda distinción en el resultado final: los casos que continúan "En tratamiento" -casos abiertos el 31 de diciembre del año siguiente al que ha empezado el tratamiento- y los "Finalizados". El primer grupo, aunque la intervención psicoterapéutica puede estar resultando beneficiosa desde algún punto de vista, tienden a considerarse como un fracaso en Terapia Familiar Breve, al menos en cuanto a la brevedad de la intervención. Por último, la tercera distinción en la variable "Resultado Final" se hace entre "Éxito" y "Fracaso", se aplica únicamente a los casos que no abandonan y que finalizan el tratamiento, y atendiendo a los siguientes indicadores de resultado:

- Informe del Cliente/Familia. Se considera lo que declara el cliente y/o familia en la última sesión.

1. Informe sobre la queja: 1. "Empeoramiento", 2. "No-cambio", 3. "Mejoría", 4. "Desaparición de la queja" -Indicador 1-.

2. Habla en pasado. El cliente y/o familia se refiere en tiempos verbales pasados a la queja objeto del tratamiento psicoterapéutico. 1. "Sí", 2. "No" -Indicador 2-.

- Informe del Observador/Terapeuta. Se considera la valoración que emiten observadores entrenados en el modelo terapéutico que se aplica y que no han participado como terapeutas en las sesiones. La valoración del terapeuta sólo se tiene en cuenta en caso de empate entre observadores o duda y en forma cualitativa.

1. Informe sobre la queja: 1. "Empeoramiento", 2. "No-cambio", 3. "Mejoría", 4. "Desaparición de la queja" -Indicador 3-.

2. Informe sobre el proceso: 1. "Empeoramiento", 2. "No-cambio", 3. "Mejoría", 4. "Desaparición de la queja" -Indicador 4-.

- Consecución de los objetivos terapéuticos. Los expresados en términos observables son calificados por los observadores; los que no son observables requieren que el cliente/familia declare explícitamente en la última sesión que han sido conseguidos, para que se consideren como tal. 1. Ninguno, 2. Algunos, 3. Todos -Indicador 5-.

Se consideran éxito los casos con tres o más indicadores de resultado favorables y fracaso los que no cumplen criterios de éxito.

El "Resultado de Seguimiento" se deriva de los siguientes indicadores de resultado:

1. El cliente considera cumplidos los objetivos terapéuticos (Escala 1 a 10). Se considera indicador de éxito si la puntuación es seis o más.

2. El cliente no ha consultado el problema con ningún especialista.

3. No ha habido ningún otro problema que requiera tratamiento psicológico o psiquiátrico.

4. El cliente describe mejorías tras la finalización de la psicoterapia en áreas no tratadas -Efecto Irradiación-.

5. Nadie del núcleo familiar ha iniciado tratamiento psicológico o psiquiátrico desde la finalización de la psicoterapia.

6. Cuestionario de Salud General: cinco o más items respondidos en la categoría positiva.

7. Preguntas específicas -definidas cuando se cerró el caso- respondidas en sentido positivo.

8. Escala de avance -valoración del cliente sobre el estado actual de la queja-: Se considera indicador de éxito si la puntuación es seis o más.

Cuando un caso tiene cinco indicadores favorables se considera éxito; si tiene solamente tres, se considera fracaso. En caso de empate, se deshace éste en base a criterios cualitativos, tras un debate del equipo terapéutico. En el momento del seguimiento los casos pueden ser considerados como "Éxito", "Fracaso" o "Recaída" -casos considerados éxito como resultado final, que cumplen criterios de fracaso en el seguimiento-. De esta manera, los de resultado final "Abandono", en seguimiento pueden clasificarse como "Éxito" o "Fracaso"; los de "Éxito" en el resultado final, pueden seguir considerándose "Éxito" o bien "Recaída" y los calificados como "Fracaso" al final del tratamiento, pueden seguirse evaluando como tal o, si han resuelto su queja, pasar al grupo de "Éxito".

Hipótesis

Hipótesis 1: En comparación con los que continúan tratamiento, los casos de abandono:

- Toman psicofármacos con menos frecuencia.

- Acuden solos a la consulta -Formato individual-.

- No han tenido tratamientos previos.

Hipótesis 2: En comparación con los casos que terminan, los que se "enganchan" al tratamiento:

- Más frecuentemente son mujeres,

- de grupos de edad "Adultos" y "Tercera Edad",

- que acuden solos a la consulta -Formato individual- y

- que están tomando psicofármacos

- y han tenido tratamiento anterior.

- Su queja lleva evolucionando durante más tiempo.

- Informan con menos frecuencia de mejoría tras la primera sesión.

- Tienen una media más alta de sesiones.

- Las sesiones son más largas en duración y con mayor intervalo de tiempo.

Hipótesis 3: Los casos de éxito se diferencian de los de fracaso en que:

- En mayor proporción son varones,

- con mayor nivel educativo,

- y de grupos de edad más jóvenes -"Infancia", "Adolescencia" y "Juventud"-.

- Acuden a la consulta en formato familiar.

- Su queja lleva evolucionando durante menos tiempo.

- Con menos frecuencia han tenido tratamientos anteriores

- Y también toman psicofármacos en menor proporción.

- Tienen un nivel mal alto de Actividad Global -E.E.A.G.

- Las sesiones son más cortas,

- y más frecuentes;

- pero no se espera que haya diferencias ni en la media del número de sesiones,

- ni en la media de la duración total del tratamiento en días.

- Puntúan más alto en Escala de Salud General.

- Con mayor frecuencia la mejoría empieza desde la primera sesión.

Instrumentos de medida

Se dispone de una Hoja de Registro para la anotación de las observaciones: se trata de una hoja en formato informático donde los jueces observadores van haciendo las anotaciones a partir de las que se derivan los diferentes valores de las variables arriba definidas.

Cuestionario de Salud General: es una escala de autoinforme compuesta por ocho items que evalúan el impacto que tiene el problema por el que consultan en sus actividades cotidianas (Alfa = .91; r = -.45 con la Escala de avance).

Diseño

Se trata de una investigación pre-experimental con una recogida de datos ex post facto. Las limitaciones en cuanto a la validez interna de este tipo de investigaciones -no pueden definirse relaciones de causalidad entre las variables que se comparan-, se ve compensada, al tratarse de una investigación naturalista, por la validez externa o generalibilidad de los resultados al contexto clínico del que derivan.

Las hipótesis establecen comparaciones entre grupos formados según las variables de resultado -variables criterio- en relación a las variables sociológicas, clínicas y a los tiempos -variables predictoras-. La significación estadística entre las variables informa de asociaciones de probabilidad, no de relaciones de causalidad.

Procedimiento experimental

En la Consulta de Psicología del Hospital "Virxe da Xunqueira" se trabaja con un modelo de Terapia Familiar Breve basado en las directrices terapéuticas que establece el MRI (Watzlawick, Weakland y Fisch, 1982; Fisch, Weaklan y Segal, 1984) de Palo Alto y el BFTC de Milwaukee (de Shazer, 1986 y 1987; O’ Hanlon y Weiner-Davis, 1990) y según la aplicación que de las mismas se hace en un contexto público (Rodríguez-Arias, Fontecilla, González y Ramos, 1996). La idea general es que los problemas se desarrollan y mantienen porque las personas en ellos implicados abordan sus quejas con soluciones ineficaces y persisten en ellas, a pesar de darse cuenta de su escaso resultado (Watzlawick et al., 1982 pp.51-59). En las sesiones se manejan técnicas destinadas a modificar el punto de vista que la familia tiene sobre el problema, para terminar con una prescripción que consolide lo conseguido durante la sesión. Generalmente hay un terapeuta y un equipo de supervisión, que se reúnen para diseñar la prescripción, antes de dar por finalizada cada sesión de psicoterapia.

Los casos acuden a la Consulta de Psicología derivados por los médicos de cabecera o por otros especialistas del hospital; también por el psiquiatra de la U.S.M. Antes de empezar el tratamiento propiamente dicho se recogen en la historia clínica las variables sociológicas y clínicas; se le explica en qué consiste el tratamiento y el trabajo en equipo; se les pide consentimiento para ello y el paciente responde a un cuestionario que incluye la Escala de Salud General. A continuación se desarrolla la primera entrevista. En ella se van definiendo, y el equipo de supervisión va anotando la información relevante para el modelo, que se discute durante la reunión del equipo y se tiene en cuenta para diseñar la intervención. Acto seguido el terapeuta comunica al paciente/familia el resultado de la reunión del equipo -intervención psicoterapéutica- y concierta, si procede, la fecha de la siguiente consulta. Una vez finalizada la sesión el equipo completa la recogida de datos con los tiempos y demás variables que no se hayan anotado durante la sesión.

Las sesiones consecutivas se desarrollan de manera similar a la primera entrevista y en ellas el equipo de supervisión anota los contenidos de la sesión, fijándose especialmente en las mejorías que describe la familia y la forma como han cooperado con la prescripción de la sesión anterior (de Shazer, 1987, pp. 92). También se registran las principales intervenciones terapéuticas y la prescripción.

Cuando se cierra un caso -en la última sesión o cuando han pasado seis meses desde la última consulta celebrada-, el equipo de supervisión valora los indicadores de resultado, asigna un valor a esta variable y prepara algunas preguntas específicas para el seguimiento, que se realiza por teléfono un año y medio después de la última sesión para todos los casos, excepto los que han sido calificados como abandono, cuyo seguimiento se hace al año.

RESULTADOS

Los resultados globales (ver Tabla 3), en principio confirma las tasas de resultado de anteriores investigaciones (Rodríguez-Arias, Fontecilla y Ramos, 1993, González M., Revuelta C., y Rodríguez-Arias J.L. 1998; Rodríguez-Arias et al. 2000): Abandonan 18% y continúan tratamiento 82%; se "enganchan" 16% y terminan 84%; en Éxito 77% y en Fracaso 23%. En el seguimiento, 20 meses después de la finalización del tratamiento, se registra un 19% de recaídas; sin embargo han conseguido resolver el problema por el que consultaron dos terceras partes de los casos de abandono y el 46 % de los fracasos. Además el 66 % de los casos contactados en seguimiento informa de haber mejorado en áreas no tratadas en las sesiones -efecto irradiación-.

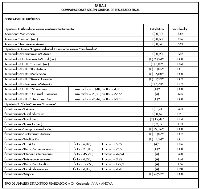
En el primer grupo de comparaciones -"Abandono" versus "Continuar tratamiento"- (ver Tabla 4), no se confirma ninguna de las tres hipótesis, de tal manera que los casos que abandonan no se diferencian de los que continúan el tratamiento en ninguna de las variables estudiadas.

En el segundo grupo de hipótesis (Tabla 4) se comparan el grupo de casos que terminan el tratamiento con el de casos que se alargan y aún siguen en tratamiento en el momento de recoger los datos. Tal y como se ha hipotetizado, el grupo de casos que se "enganchan" al tratamiento se caracteriza por ser adultos o de la tercera edad -más que jóvenes, adolescentes o niños-, haber tenido tratamientos previos, estar tomando psicofármacos, llevar un tiempo más largo evolucionando la queja y, como es lógico, consumen un número superior de sesiones y éstas se celebran con un intervalo mayor de tiempo -dos meses frente a mes y medio-. Sin embargo, en contra de lo esperado, no se constatan diferencias en el género, ni en la duración de las sesiones entre estos dos grupos; y hay una diferencia ligera -p < .05- en el formato: tienden a "engancharse" más los que acuden solos; y la mejoría tras la primera sesión tiende a ser más frecuente en los casos que terminan.

Por último, en las hipótesis que comparan los casos terminados con éxito y con fracaso (Tabla 4), puede afirmarse que los casos de éxito se caracterizan por quejas de inicio más reciente, que no han tenido tratamientos previos y que no están tomando psicofármacos. En estos casos las sesiones son más cortas; pero no más frecuentes, y la mejoría empieza tras la primera sesión. Según lo esperado, ni las sesiones, ni los tratamientos en su conjunto son más largos; es decir, se fracasa en los mismos tiempos en los que se resuelve. En cambio, no se confirman las diferencias en el género -no se tiene más éxito con varones-, ni en el nivel educativo, ni en el formato individual o familiar; pero sí se tiende a tener más éxito con los grupos de población más jóvenes. En cuanto a la "gravedad" de la queja, los casos de éxito tienden a ser un poco menos graves -E.E.A.G. p < .05, -calificación asignada por el equipo terapéutico-, pero los pacientes de un grupo y otro, se puntúan igual en la Escala de avances en la primera sesión.

CONCLUSIONES

- Se confirman las tasas de resultado final y seguimiento de anteriores investigaciones: siguen siendo aceptables las tasas de abandono -18%-, las de "enganche" terapéutico -16%- y, por supuesto, las de éxito -77%-.

- Estos resultados tras una intervención psicoterapéutica de 4,3 sesiones de 30 minutos duración media, desarrolladas a lo largo de uno a seis meses, se mantienen después de un periodo de dos años de seguimiento: frente al 19% de recaída; un 60% de los casos de abandono y un 46% de los fracasos terminan en éxito; además, dos terceras partes describen efecto irradiación.

- No hay diferencias entre los casos que abandonan y los que continúan tratamiento. Habrá que investigar otros factores y utilizar otros procedimientos para conocer las razones por las que las familias abandonan el tratamiento.

- El grupo de casos que se "enganchan" al tratamiento presenta características similares a las del grupo de fracaso.

- Las variables que, según estos datos, caracterizan los casos de éxito frente a los de fracaso son:

- La edad: Se tiene más éxito con los clientes más jóvenes.

- El tiempo de evolución de la queja: Mejores resultados cuanto menor sea el tiempo de evolución.

- Las puntuaciones en la E.E.A.G.: Mejores resultados con puntuaciones altas, es decir, en los casos con mejores índices de actividad global.

- La duración de las sesiones: Los casos de éxito tienen sesiones más cortas.

- La mejoría tras la primera sesión: Mejores resultados cuando el cliente informa de mejoría desde el principio del tratamiento.

- Los clientes que permanecen en tratamiento tienen mayor edad, están tomando simultáneamente tratamiento psicofarmacológico y tienen un tiempo de evolución de la queja más largo.

- No hay diferencias entre los casos de éxito y fracaso en cuanto al número de sesiones.

- La Terapia Familiar Breve consigue en 5,5 meses y en 4,3 sesiones, una tasa de resultados exitosos similar o superior a la remisión espontánea de que hablaba Eysenck (1952).

Bergin A.E. (1982). Sixty-four therapies – but who will evaluate them?. Contemporay Psychology, 27 (9), pp. 685-686.

Bischoff R.J. y Sprenkle, D.H. (1993). Dropping out of marriage and family therapy: A critical review of research. Family Process 32 (3): 353-375.

Burgaleta R. y Rodríguez-Arias J.L. (2003). Evidencias y controversias de la psicoterapia. Cuadernos de Terapia Familiar, XVII(53), pp. 15-34.

Chamberlain, P. y Rosicky, J.G. (1995). The effectiveness of family therapy in the treatment of adolescents with conduct disorders and delinquency. Journal of Marital and Family Therapy 21(4): 441-459.

Eysenck, H.J. (1952). The effects of Psychotherapy: an evaluation. Journal of consulting Psychology, 16, 319-324.

Fisch, R., Weakland, J.H. y Segal, L. (1984). La táctica del cambio. Cómo abreviar la terapia. (Orig. 1982) Barcelona: Herder.

Fontecilla G., Ramos M. y Rodríguez-Arias J.L. (1993). Evaluación de resultados en terapia familiar breve. XIV Jornadas Nacionales de Terapia Familiar. Santiago de Compostela.

Garfield, S. (1986). Research on client variables in psychotherapy In S. Garfield y A. Bergin (eds.), Handbook of psychotherapy and behavior change (pp. 213-256). New York: Jonh Wiley & Sons.

González M., Revuelta C. y Rodríguez-Arias J.L. (1998). Evaluación de resultados en la consulta de Salud Mental. I Congreso de la Asociación Española para la Investigación y Desarrollo de la Terapia Familiar. Sevilla.

Gurman, A.S., Kniskern, D.P. y Pinsof, W.M. (1986). Research on the process and outcome of marital and family therapy. In S. Garfield y A. Bergin (eds.), Handbook of psychotherapy and behavior change. (pp. 565-624). New York: Jonh Wiley & Sons.

Hampson, R. y Beavers W.R. (1996). Measuring family therapy outcome in a clinical setting: families that do better or do worse in therapy. Family Process 35(3): 347-361.

Harrington R., Kerfoot M., Dyer E., Mcniven F., Gill J., Harrington V. y Woodham A. (2000). Deliberate self-poisoning in adolescence: why does a brief family intervention work in some cases and not others?. Journal of Adolescence 23(1): 13-20.

Jonhson, L., Wright, D. y Ketring S. (2002). The therapeutic alliance in home-based family therapy: is it predictive of outcome?. Journal of Marital and Family Therapy 28(1): 93-102.

Kemp, R. y Van Acker, J. (1997). Therapist-parent interaction patterns in home-based treatments: exploring family therapy process. Family Process 36(3): 281-295.

Koss, M.P. y Butcher, J.N. (1986) Research on brief psychotherapy. In S. Garfield y A. Bergin (eds.), Handbook of psychotherapy and behavior change (pp. 627-670). New York: Jonh Wiley & Sons.

Lambert, M., Shapiro D. y Bergin A. (1986). The effectiveness of psychotherapy. In S. Garfield y A. Bergin (eds.), Handbook of psychotherapy and behavior change (pp. 157-211). New York: Jonh Wiley & Sons.

O’Hanlon, W.H. y Weiner-Davis, M. (1990). En busca de soluciones: Un nuevo enfoque en psicoterapia. (Orig. 1989)Barcelona: Paidós.

Orlinsky, D. y Howard K. (1986). Process and outcome in psychotherapy. In S. Garfield y A. Bergin (eds.), Handbook of psychotherapy and behavior change (pp. 311-381). New York: Jonh Wiley & Sons.

Pérez M.D. (1990). Evaluación de resultados en un modelo de terapia familiar breve (tesis doctoral). Universidad Pontificia de Salamanca.

Rodríguez-Arias J.L., Mestre B.I., Larre M.C. y González A. (1990). Nuestra experiencia en Psicoterapia Infantil a través de un modelo de Terapia Familiar Sistémica. XVIII Congreso de la Sociedad Española de Psiquiatría. Salamanca.

Rodríguez-Arias J.L., Fontecilla G., González M. y Ramos M. (1996) Aplicación de un modelo de terapia familiar breve en una U.S.M. En A. Espina y B. Pumar (eds.), Terapia familiar sistémica: teoría, clínica e investigación (pp. 271-186). Fundamentos. Madrid.

Rodríguez-Arias J. L. Aparicio M., Fontecilla G., González M., Ramos M.M. y Rueda A. (1997a). Metodología para la evaluación de resultados en terapia familiar. XX Congreso de la Asociación Española de Neuropsiquiatría. Badajoz.

Rodríguez-Arias J.L., Aparicio M., Fontecilla G., González M., Ramos M.M. y Rueda A. (1997b). Evaluación de Resultados en Terapia Familiar Breve. XX Congreso de la Asociación Española de Neuropsiquiatría. Badajoz

Rodríguez-Arias J.L. Agra S., Arauxo A., Balea F.J., Camacho P., García M., Vicente D., Grovas I. y Andaluz L. (2000). Análisis de la demanda de psicoterapia en la U.S.M. del Hospital "Virxe da Xunqueira. II Congreso de la Asociación Española para la Investigación y Desarrollo de la Terapia Familiar. Madrid.

Shadish W.R., Ragsdale K. y Glaser R. (1995). The efficacy and effectiveness of marital and family therapy: a perspective from meta-analysis. Journal of Marital and Family Therapy 21(4) 345-360.

Shazer, S. de (1986). Claves para la solución en terapia breve (Orig. 1985). Buenos Aires: Paidós.

Shazer, S. de (1987). Pautas de terapia familiar breve (Orig. 1982). Buenos Aires: Paidós.

Watzlawick, P., Weakland, J.H. y Fisch, R. (1982). Cambio (Orig. 1974). Barcelona: Herder.

Watzlawick, P., Beavin, J. y Jackson, D.D. (1991). Teoría de la comunicación humana (Orig. 1967). Barcelona: Herder.

Material adicional / Suplementary material

TABLA 1. CUADRO RESUMEN DE RESULTADOS EN PSICOTERAPIA

TABLA 1. CUADRO RESUMEN DE RESULTADOS EN PSICOTERAPIA

TABLA 2. CARACTERÍSTICAS SOCIODEMOGRÁFICAS DE LOS PACIENTES

TABLA 2. CARACTERÍSTICAS SOCIODEMOGRÁFICAS DE LOS PACIENTES

TABLA 3. RESULTADOS FINALES Y DE SEGUIMIENTO

TABLA 3. RESULTADOS FINALES Y DE SEGUIMIENTO

TABLA 4. COMPARACIONES SEGÚN GRUPOS DE RESULTADO FINAL

TABLA 4. COMPARACIONES SEGÚN GRUPOS DE RESULTADO FINAL

Una vez publicada la revista, el texto integro de todos los artículos se encuentra disponible en
www.papelesdelpsicologo.es
Impact Factor JCR SSCI Clarivate 2024 = 1.1 (Q3) / CiteScore SCOPUS 2024 = 2.2 (Q3)